刘子云
在炼油、石油化工、煤化工及煤制油等工业领域,液位是重要的工艺参数之一。测量液位的仪表种类繁多,如伺服液位计、差压式液位变送器、超声波液位计、雷达液位计、钢带液位计及浮筒液位计等,需依据工艺的实际工况,选用不同类型的液位计。较为常用的液位测量仪表是双法兰差压液位变送器和浮筒液位计,91视频黄色免费看将从双法兰差压液位变送器与浮筒液位计的测量原理、维护调校方法、测量精度、稳定性及零点与量程的计算方法等方面对二者进行比较。

一、问题的提出
一般来说,在工程项目的《仪表专业工程统一规定》或装置的《仪表说明书》中,液位仪表的选型原则是: 对于测量范围在2000mm 以内、比重为0.5 ~ 1.5 的液体液面测量,与测量范围在1200mm以内、比重差为0.5 ~ 1.5 的液体界面测量,优先选用外浮筒液位计。笔者对双法兰差压液位变送器进行分析研究后认为此原则定值得商榷。实践表明: 利用双法兰差压液位变送器不仅可以在大的测量范围内准确地测量液位,在小测量范围内也同样可以准确测量。因此,在液位测量与界面测量中,只要利用就地液位计或其他手段能获得在一定测量范围内被测容器的真实液位,原则上可以用双法兰差压液位变送器来替代浮筒液位计。
二、双法兰差压液位变送器
2.1 测量原理
双法兰差压液位变送器的安装方式如图1所示,其中LT 为测量容器V 的液位的双法兰差压变送器,LG 为与被测容器相连接的就地液位计。就地液位计LG 通常是玻璃板( 管) 液位计,采用连通器原理,在保温完好的情况下,可以直接观察现场被测容器的实际液位。

由液柱压强公式P = ρgh 可得:
Δp = p + - p - = ρ1 gH1 + ρgh + ρ3 g( H3 - h) - ρ2 gH2 + ΔZ
= ρgh + ρ3 g( H3 - h) – ρ2 gH3 + ΔZ ( 1)
式中g ———重力加速度,9.80m/s2 ;
H1———双法兰差压液位变送器到被测容器正取压点的高度,m;
H2———双法兰差压液位变送器到被测容器负取压点的高度,m;
H3———被测容器正、负取压点之间的高度(H3 = H2 - H1) ,m;
Δp———双法兰差压液位变送器正、负压室之间的压差,kPa;
ΔZ———双法兰差压液位变送器产生的零点漂移;
ρ ———在设计温度和压力下,被测容器内介质的密度,kg/m3 ;
ρ1———双法差压液位变送器正取压毛细管硅油密度,kg/m3 ;
ρ2———双法差压液位变送器负取压毛细管硅油密度(通常情况下与ρ1的值相
等) ,kg /m3 ;
ρ3———在设计温度和压力下,被测容器内液体上部气体介质的密度,kg /m3。
零点漂移ΔZ 具体包括: 由双法兰膜片接触不同的介质(被测容器内液体与液体上部的气体) 所产生的温度差造成的双法兰差压液位变送器零点漂移; 由于环境温度对毛细管内硅油的影响所引起的双法兰差压液位变送器零点漂移[2];由于安装引起的双法兰差压液位变送器零点漂移; 其他原因引起的双法兰差压液位变送器零点漂移。
从式(1) 可以看出,双法兰差压液位变送器正、负压室间的差压Δp 是随着被测容器内介质高度h 变化而变化的,此压差被转换为4 ~ 20mA后输出。
2. 2 零点与量程的计算
根据式(1) ,当h = 0 时:
Δp0 = ρ3 gH3– ρ2 gH3 + ΔZ (2)
当h = H3时:
Δp100 = ρgH3 - ρ2 gH3 + ΔZ (3)
其中,Δp0和Δp100分别为双法兰差压液位变送器的零点和量程。
式(1) 是计算差压液位变送器零点与量程的常规关系式。但在实际生产过程中,被测容器内的温度、压力与设计给定的温度、压力均有偏差,这就使得无法准确得知被测容器内的液体密度ρ,被测容器内液体上部的气体密度ρ3和差压液位变送器所产生的零点漂移ΔZ。由于上述原因,在实际应用中计算双法兰差压液位变送器的零点时,忽略了被测容器内液体上部的气体与变送器的零点漂移; 在计算双法兰差压液位变送器的量程时,将设计给定的被测容器介质密度直接代入式(3) 且忽略了被测容器内液体上部的气体与变送器的零点漂移。由此计算的差压液位变送器零点与量程必然导致液位测量不准,因此无法按式(2) 、(3) 准确计算双法兰差压液位变送器的零点与量程。
分析式(1) ,当双法兰差压液位变送器按设计要求安装后,变送器到正、负取压法兰间的距离H1和H2可以用直尺准确测量,即H1和H2是定值; H3是正、负取压法兰之间的距离,也是一个定值; g 是重力加速度。尽管在实际生产过程中很难获取ρ 与ρ3的准确值,但在相对稳定( 被测容器内的温度、压力相对稳定) 的情况下,ρ、ρ1、ρ2与ρ3的数值是相对固定的,也可以看成常数; ΔZ 是由各种因素产生的变送器零点漂移,很难准确得知ΔZ 的数值,但在实际生产过程相对稳定的情况下,ΔZ 是一个定值。从式(1) 可以看出,差压液位变送器正、负压室的压差Δp 与被测容器的液位h 之间是线性关系,除了被测容器液位h 是变量外,其余参数均可以看成常数。由此可见,差压液位变送器正、负压室的压差Δp 是被测容器液位h 的一次函数,其表达式为:
Δp = Kh + C(4)
其中,h 为差压液位变送器的指示液位,此值为与变送器相连接的DCS 或其他仪表的显示值,即由差压液位变送器的输出(4 ~ 20mA) 转换成的液位显示值; K 和C 分别为Δp 一次函数的斜率和截距,均为待求常数。
利用差压液位变送器测量液位的目的就是要使差压变送器的测量输出值h 与被测容器内的实际液位h'的值相一致,即h = h'。则式( 4) 可以改写成:
Δp = K' h' + C'(5)
对于智能差压变送器,可以通过智能通信器直接读出与实际液位相对应的Δp; h'的值可以通过安装在被测容器上的就地液位计观测; K'、C'分别为Δp 一次函数的斜率和
截距,为待求常数。由于实际生产过程中不允许出现实际液位为最低或最高的工况,因此,不能直接观测差压液位变送器的零点与量程。笔者利用式(5) 间接地计算出了差压液位变送器的准确零点与量程,具体步骤如下:
a.在生产过程相对稳定的情况下,当被测容器就地液位计指示为h1 '时,利用与差压液位变送器相连接的手操器观测与h1 '相对应的差压液位变送器正、负压室的压差Δp1,即可得Δp与h'的一次函数的一个坐标点(Δp1,h1 ') ;
b.一段时间后,当被测容器就地液位计指示为h2 '时,观测Δp与h'的一次函数的另一个坐标点(Δp2,h2 ') ,且h1 '不等于h2 ';
c.确定被测容器液位与差压液位变送器正、负压室间的压差关系式。
将以上两个坐标点代入式(5) 可得:

式(8)即为差压液位变送器正、负压室的压差
Δp 与被测容器实际液位h'的一次函数,利用此式即
可准确计算差压液位变送器的零点与量程。
由式(8)可得,当h'= 0 时,有:

其中,Δp0、Δp100分别为双法兰差压液位变送器的准确零点和量程。将差压液位变送器的零点和量程分别调整为Δp0、Δp100,则变送器的指示值与被测容器上的就地液位计指示值在整个测量范围内完全一致。
三、浮筒液位计
3. 1 测量原理
浮筒液位计是利用变浮力原理来测量液位的,其敏感元件是浮筒,根据浮筒被液体浸没高度不同导致所受浮力的不同来检测液位的变化,如图2 所示。

将一横截面积为A,质量为m 的圆柱形空心金属浮筒悬挂在弹簧上,由于弹簧的下端被固定,因此弹簧因浮筒的重力被拉伸。当浮筒没有浸没在液体中时,浮筒的重力与弹簧的拉力达到平衡,此时有:
W = F
mg = Cx0(11)
式中C ———弹簧的刚度;
F ———弹簧的拉力;
W———浮筒的重力;
x0———弹簧由于重力被拉伸所产生的位移。
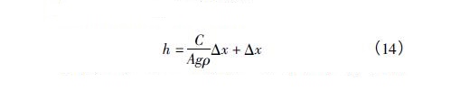
此时杠杆作用在扭力管上的扭力最大,使扭力管产生最大的扭角。当液体浸没浮筒的高度增加时,浮筒受到液体浮力的作用而向上移动,当弹簧的拉力与液体对浮筒的浮力之和与浮筒的重力平衡时,浮筒停止移动。设液位高度为H,浮筒由于向上移动实际浸没在液体中的长度为h,浮筒移动的距离即弹簧的位移量为Δx,则有:
H = h + Δx (12)
根据力平衡原理可得:
C( x0 - Δx) + Ahρg = mg (13)
其中,ρ 为浸没浮筒液体的密度。综合式(11) ~ (13) 可得:

由式(14) 可知,当液位h 发生变化时,浮筒产生位移Δx,由此可见,浮筒液位计的检测原理实质上就是将液位转换成敏感元件的位移。当浮筒杠杆的拉力发生变化,扭力管的扭矩也发生变化,进而导致扭力管的角位移发生变化,由振荡器、涡流差动变压器、直流放大器和解调器组成的转换器将扭力管输出的角位移转换成4 ~ 20mA电流输出[3],实现液位的测量。
3. 2 零点与量程的计算
根据浮筒受力平衡可得:
F = mg - Ahρg (15)
当浮筒中没有液体(即h =0) 时,浮筒杠杆的拉力与浮筒的重力平衡:
F0 = mg (16)
其中,F0为浮筒液位计的零点。
当浮筒中充满液体( 即h = H -Δx) 时,浮筒杠杆的拉力与浮筒的重力和浮筒所受浮力之差相平衡,即:
F100 = mg -Ahρg = mg - A( H - Δx) ρg (17)
其中,F100为浮筒液位计的量程。
由式(16) 可知,浮筒液位计的零点只与浮筒的重力有关。由式(17) 可知,浮筒液位计的量程不仅与浮筒的重力有关,还与被测容器内的液体密度及弹簧的位移等有关。
四、双法兰差压液位变送器与浮筒液位计的比较
4. 1 测量原理
利用双法兰差压液位变送器测量液位时,被测容器内液体高度的变化引起变送器正、负压室间的压差变化,双法兰差压液位变送器将其正、负压室间的压差转换成4 ~ 20mA 电流信号输出。浮筒液位计是利用被测容器内液体高度的变化引起浮筒液位计的杠杆拉力变化,进而扭力管的扭矩发生变化,导致扭力管的角位移发生变化,由振荡器、涡流差动变压器、直流放大器和解调器组成的转换器将扭力管输出的角位移转换成4 ~20mA 电流输出。
双法兰差压液位变送器与浮筒液位计均可以测量液位。
4.2 零点与量程计算方法
4.2.1 传统计算方法
按照式(2) 计算双法兰差压液位变送器的零点,按式( 3) 计算其量程; 按式( 16) 计算浮筒液位计的零点,按式( 17) 计算其量程。
从式(2) 可以看出,按传统方法计算的双法兰差压液位变送器的零点不仅受被测容器内液体上部气体密度的影响,同时也受变送器零点漂移的影响。在实际生产过程中,很难得知被测容器内液体上部气体的准确密度,也很难得知变送器零点漂移的准确值,因此,按式(2) 计算的双法兰差压液位变送器的零点是不准确的。从式(16)可以看出,浮筒液位计的零点仅是浮筒的重力,是一个准确的数值。
由式(3) 可知,按传统方法计算的双法兰差压液位变送器的量程不仅受被测容器内液体密度的影响,同时也受变送器零点漂移的影响,因此,按式(3) 计算的双法兰差压液位变送器的量程也是不准确的。由式(17) 可知,浮筒液位计的量程仅受被测容器内液体密度的影响。
综上所述,按传统方法计算的双法兰差压液位变送器的零点与量程比计算浮筒液位计的零点与量程的准确性要差。由于在测量取源间距较小时,浮筒液位计的重量、价格与维护成本相对较低,且浮筒液位计的测量准确性较高。因此,一般取源间距在2 000mm 以下时,可选择浮筒液位计来测量液位; 当取源间距大于2000mm 时,尽管双法兰差压液位变送器测量准确性低于浮筒液位计,由于取源间距( 测量范围) 增大,使得浮筒液位计的重量、价格与维护成本增加,综合考虑选择双法兰差压液位变送器测量液位。
4.2.2 新计算方法
按式(9) 计算双法兰差压液位变送器的零点,按式(10) 计算其量程; 按式( 16) 计算浮筒液位计的零点,按式( 17) 计算其量程。
从式(9) 可以看出,按新的方法计算的双法兰差压液位变送器零点不会受到被测容器内液体上部气体密度的影响,同时也不会受到其零点漂移的影响。在生产过程相对稳定的情况下,只要读取的实际液位与相对应的差压变送器正、负压室间的压差是准确的,则按照式(9) 计算的双法兰差压液位变送器的零点就是准确的。从式(16) 可以看出,浮筒液位计的零点仅是浮筒的重力,是一个准确的数值。
从式(10) 可以看出,按新的方法计算的双法兰差压液位变送器的量程不会受到被测容器内液体上部气体密度的影响,同时也不会受到其零点漂移的影响,也不需要知道被测容器内液体的准确密度。在生产过程相对稳定的情况下,只要读取的实际液位与相对应的差压变送器正、负压室间的压差是准确的,则按照式(10) 所计算的双法兰差压液位变送器的量程就是准确的。从式(17) 可以看出,浮筒液位计的量程受到被测容器内液体密度的影响。因此,按照新的计算方法计算的双法兰差压液位变送器的量程比浮筒液位计的量程要准确。
综上所述,按式(9) 、(10) 计算的双法兰差压液位变送器的零点与量程,其测量液位的准确度要高于浮筒液位计。
4.3 测量范围
从式(9) 、(10) 可以看出,不论法兰取源间距是大还是小,按照新方法计算的双法兰差压液位变送器的零点与量程都不受被测容器内液体密度的影响,也不会受到被测容器内液体上部气相介质密度的影响,同时也有效地克服了双法兰差压液位变送器的零点漂移。即按照新方法计算的双法兰差压液位变送器的零点与量程在测量液位时不受测量范围的影响。
从式(17) 可以看出,浮筒液位计的量程受到被测容器内液体密度的影响,且法兰取源间距越大,浮筒液位计的量程所受到的影响也越大; 此外,在相同的压力等级条件下,法兰取源间距越大,浮筒的重量也越大。因此,浮筒液位计的量程受限取源间距。
综上,双法兰差压液位变送器测量液位的范围比浮筒液位计宽。
4.4 测量精度、稳定性与介质温度
目前,主流的普通双法兰差压液位变送器的测量精度可达0.075%,高精度的测量精度可达0.065%; 主流的普通双法兰差压液位变送器的稳定性可达± 0.1%/3 年。若双法兰毛细管内填充低温硅油,其所接触的介质温度范围在-130 ~132℃; 若填充高温硅油,其所接触的介质温度范围为20 ~ 350℃。
主流的普通浮筒液位计的测量精度为1.0%,高精度的为0.5%; 普通的浮筒液位计所测介质温度范围为- 110 ~ 400℃,特殊的所测介质温度范围为- 196 ~ 400℃。目前主流浮筒液位计还没有稳定性指标。
综上,双法兰差压液位变送器的测量精度高于浮筒液位计,双法兰差压液位变送器的测量介质温度适用范围小于浮筒液位计,双法兰差压液位变送器的稳定性远高于浮筒液位计。
4.5 校验方法
4.5.1 双法兰差压液位变送器
双法兰差压液位变送器的校验就是调整变送器的零点与量程,使其在允许的误差范围内。按式( 10) 、( 11) 计算双法兰差压液位变送器的零点与量程。用0%、25%、50%、75%和100% 的压力进行校验,当压力稳定后记录标准电流表上显示的电流值并做回程误差校验,如果误差超过允许误差范围,应重新调整校验[4]。实际应用表明: 目前主流的智能双法兰差压液位变送器仅利用HART手操器就能完成变送器的校验,其校验结果完全能够满足测量精度的要求。
4.5.2 浮筒液位计
浮筒液位计在生产运行过程中,其测量精度对测量结果有着较大的影响,因此,需要对其精度进行校验和标定。浮筒液位计的校验通常使用灌液法和挂重法。
灌液法适用于浮筒安装在现场不方便拆装,并且对仪表的精度要求不高的情况,一般用水作为标准液体进行校验。在校验时根据实际测量介质的工作密度和刻度,换算为用水校验的刻度值,即首先在外浮筒标记零点( 一般是下法兰中心线) 、量程位置( 灌水高度= 介质比重/水比重×浮筒法兰间距) 和中间各点位置( 25%、50% 和75%) 。一般由外筒的排空阀连接软管至量程处,往浮筒里注水到0%、25%、50%、75% 和100%,分别观察变送器显示是否对应每点数值,并根据显示数值,分别调整浮筒液位计的零点与量程。对于利用比水密度大的工作液体的浮筒,不能校验100%时的刻度。
挂重法先根据不同高度的液位计算对应的挂重( 挂重= mg - πD2 /4( H - Δx) ρ介) 。准备好砝码和砝码盘,将砝码盘挂在悬挂浮筒的位置上,根据计算的0%、25%、50%、75% 和100% 挂重,分别在砝码盘中码放砝码,观察并记录浮筒液位计的输出,并根据显示数值分别调整浮筒液位计的零点与量程。该校验方法需要拆卸浮筒,比较麻烦且费时、费力。
浮筒液位计的校验不论采用灌液法还是挂重法,都会直接或间接地受到介质密度的影响,由于在实际生产过程中很难得到被测介质的准确密度,因此不论怎样校验浮筒液位计,其测量准确度都较差。而且通过实际应用表明: 浮筒液位计的校验比双法兰差压液位变送器的校验准确度低且费时、费力。
4.6 费用
对于类似的温度、压力与相近的取源间距,一般来讲,主流浮筒液位计的采购价格是双法兰差压液位变送器的两倍以上。而且由于浮筒液位计的调校费时、费力,使得浮筒液位计的维护成本也高于双法兰差压液位变送器。根据上述分析,双法兰差压液位变送器与浮筒液位计的综合比较见表1。

五、结束语
从测量原理来说,双法兰差压液位变送器与浮筒液位计都可以测量液位,除了双法兰差压液位变送器的适用介质温度范围小于浮筒液位计外,其余方面,双法兰差压液位变送器均优于浮筒液位计。在炼油、石油化工、煤化工及煤制油等行业的液位测量与界面测量中,只要能利用就地液位计或其他手段获得在一定测量范围内被测容器的实际液位,原则上可以利用双法兰差压液位变送器来替代浮筒液位计。
:
:
:
:
:
- MDSGP167智能91视频官网下载在环保污泥
- 91视频黄色免费看 | 高精度智能91视频官网下载在锂电池
- 聚焦创新,前瞻布局,91视频黄色免费看单晶硅智能压力
- 镀金膜片型91视频官网下载在煤气化装置中的应用
- 中天钢铁热电厂6#机组煤气91视频官网下载安装

